成果一:晶圆级氧化镓外延片
采用单晶外延技术,实现了晶圆级氧化镓(β-Ga2O3)异质外延生长,为制备高性能β-Ga2O3光电器件和功率器件提供了外延片材料。通过采用Sn作为掺杂元素,实现对(100)β-Ga2O3外延层的掺杂浓度和迁移率的调控,Sn掺杂的浓度(5×1016 cm-3至5×1019 cm-3)窗口可调以及载流子迁移率从0.26 cm2/Vs提升至16.2 cm2/Vs,外延层质量处于国内领先水平。

图1 晶圆级氧化镓异质外延生长的工艺探索和掺杂调控。(a-c):一英寸样品照片;椭偏仪测试生长均匀性结果;单晶β-Ga2O3外延层XRD结果。
(d):氧化镓n型掺杂调控载迁移率与载流子浓度图。
产业化进展情况:
产业化推广阶段。基于氧化镓外延生长技术已有专利申请,有望实现专利转化。专利名称:采用MBE刻蚀后外延的常关型氧化镓基器件及制备方法[P].中国,发明专利, CN116864529A. (已公开)
应用前景:
随着5G通信、人工智能、新能源等领域的快速发展,氧化镓外延技术将为光电探测器、电力电子等器件提供高性能、高可靠性的材料基础。同质外延和异质外延技术的结合将推动光电子器件性能的提升和功能的拓展,满足不同应用场景的需求。因此,氧化镓外延技术将成为光电子产业发展的重要引擎,为构建智能、高效的光电子系统提供强有力支持。
成果二:氧化镓功率器件
我们研制了基于氧化镓的高性能平面型肖特基结势垒二极管(SBDs),导通电压<1 V,导通电阻约10 mΩ·cm2,击穿电压高达890 V,泄漏电流约0.1 μA/cm2,处于国际先进水平。此外,我们也掌握β-Ga2O3低损伤刻蚀、高质量介质层沉积等关键技术,研制了5 A/600 V、2 A/1200 V级别的沟槽型氧化镓 SBD,有望实现商业化量产。
产业化进展情况:
产业化推广阶段。基于氧化镓平面和沟槽技术已申请了专利,有望实现专利转化。专利名:一种具有 AlN势垒层的氧化镓肖特基二极管及制备方法;中国专利申请号:202311264299.7。
应用前景:
相比于碳化硅和氮化镓材料相同耐压情况下,氧化镓导通电阻更低、功耗更小,能够极大地节约上述高压器件工作时的电能损失,而氧化镓SBD可广泛应用于光伏储能、工业和电源等电力电子场景,促进系统高效化和小型化。课题组研制的氧化镓SBD具有高电流密度,高耐压,低泄漏的优点,具有良好的商业化量产及应用前景。
成果三:碳化硅光伏逆变器
基于模糊逻辑控制的碳化硅两级单相光伏并网逆变器中,在前级电路中使用模糊逻辑控制完成最大功率点追踪功能,相较于使用FLC的MPPT相较于传统算法有追踪效率高、响应速度快和控制精度高等优势;针对FLC设计过程中因参数过多带来的设计难题,通过粒子群算法(PSO)对模糊规则的选取进行优化,简化了FLC的设计过程。并结合SiC的高频特性在电压电流双闭环控制中采用恒频闭环控制器替换了传统的PI或PR控制器,减少了控制系统参数数量,简化了控制模型的复杂度,这在提升电流精度和响应速度方面都展示出明显的优势。
设计并仿真验证了一个5 kW两级单相光伏逆变器,最后基于DSP28335实现了该软硬件系统。在对该系统的软硬件设计中,其中仿真的MPPT峰值追踪效率达到99.25%,输出电流总谐波失真(THD)为2.18%。通过实验对同规格的Si IGBT与SiC MOSFET进行测试比较,在相同开关频率下采用SiC MOSFET的逆变器THD为2.11%,最大转化效率为96.2%,高于采用Si IGBT的逆变器(THD=2.40%,效率=94.1%),证实了SiC器件在逆变器应中的显著优势。

图2 (a)光伏逆变器系统部分原理图及实物图;(b)原理图对应版图;(c)逆变器输出电压电流曲线;(d)逆变器输出电流THD分析。
产业化进展情况:
产业化推广阶段。与厦门磐晟电气设备有限公司进行项目合作,申请了6项发明专利,有望在2025年实现部分产业化。
应用前景:
碳化硅器件得益于其低损耗、高开关频率、高适用性、降低系统散热要求等优点,基于碳化硅功率器件的逆变器在电力电子领域应用范围广泛,不仅在光伏领域有重要的应用,同时在电动汽车、轨道交通也有重要的应用。碳化硅功率器件能够大幅度提高装置的功率密度和工作效率,减轻载重系统的负担。有助于提升整个系统的运行效率和稳定性,为推动绿色、低碳、可持续的能源发展做出重要贡献。
成果四:氧化镓日盲深紫外光电探测器
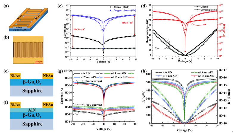
我们制备出高性能的氧化镓金属-半导体-金属(MSM)和金属-绝缘体-半导体-绝缘体-金属(MISIM)结构日盲深紫外光电探测器,峰值响应波长在250 nm左右。所制备的MSM结构光电探测器表现出7.5 pA的暗电流、1.31×107的光暗电流比、1.31×1015 Jones的比检测率和 53 A/W的光响应度。同时,在器件性能优化方面,创新性地在金半界面处引入了氮化铝层改善器件性能:利用氮化铝/氧化镓界面工程对载流子传输进行调控,实现了对响应度和响应速度的优化。通过引入3 nm氮化铝层,光电探测器的性能达到了482 A/W 的响应度、2.48×1015 Jones 的比探测率和0.10 s 的下降时间。

图3 (a-d) MSM结构氧化镓日盲深紫外光电探测器:(a)器件结构示意图,(b)光学显微镜照片,(c) I-V特性曲线,(d)光响应度、比探测率曲线;(e-h) 具有氮化铝层的MISIM结构氧化镓日盲深紫外光电探测器:(e-f)有/无氮化铝层的器件结构示意图,(g)有/无氮化铝层的I-V特性曲线,(h)光响应度、比探测率曲线。
产业化进展情况:
器件结构设计和制备流程简单,可与现有半导体制备工艺流程兼容,且器件的使用寿命较长。同时,根据市场研究机构预计:全球日盲光电探测器市场会持续上涨,应用价值极大,属于低投入高回报的产业。项目投资金额视合作关系而定,一般前期投入为300万-400万元,后期可追加投资金额(不包括厂房、公用工程等)。
应用前景:
日盲深紫外光电探测器具有广泛的应用前景,在环境监测、医疗诊断、光通信、工业制造等多个领域都有重要的应用和推广价值。在环境监测领域可用于监测大气污染物、水质污染、化学气体浓度等方面,具有重要的环境保护和安全监测意义;在医疗诊断上可用于医学影像、生物荧光标记、细胞成像等方面,帮助提升医学诊断的准确性和效率;在光通信上可以用于深紫外光信号的接收和检测,促进光通信技术的发展和应用;在工业制造上可以实现对工件的精准控制和监测,提升工业制造的质量和效率。
团队简介
杨伟锋教授,闽江学者特聘教授、博导,福建省“*专百人计划”和厦门市“双百计划”人才。迄今主持或承担科研项目总经费逾5000万,在Nature Physics、Energy Materials Storage、Advanced Science、Applied Physics Letters、IEEE Electron Device Letters、IEEE Transactions on Electron Devices等已发表学术论文百篇,申请发明专利10余项,其中4项关于宽禁带半导体领域发明专利实现转让给企业。
联系方式
联系人:杨伟锋
邮 箱:yangwf@xmu.edu.cn